Mississippi Adult Name Change Petition

  1. Home »
  2. Name Change Petition »
  3. Mississippi

Mississippi Adult Name Change Petition

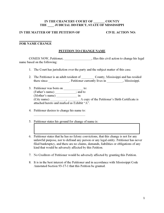
Mississippi adult name change petition is used by individuals to request that the court permit an official change to their legal name. In addition to their former and requested new name, the petitioner will need to provide a reason for the name change, the names of their parents, and the date and place of birth.

Last updated December 25th, 2025

Mississippi adult name change petition is used by individuals to request that the court permit an official change to their legal name. In addition to their former and requested new name, the petitioner will need to provide a reason for the name change, the names of their parents, and the date and place of birth.

Eligibility Requirements

  • Mississippi resident
  • Not incarcerated
  • At least 21 years old (or consent of parent or guardian)
  • Have a certified copy of their birth certificate

How to Legally Change a Name in Mississippi

Step 1 – Complete Documents

To initiate the process, the petitioner must fill out the Petition to Change Name and attach a copy of their birth certificate. Petitioners may have the form digitally generated by answering an online interview. The petitioner must sign the completed form in front of a notary public.

Before filing, the petitioner must also complete a Civil Coversheet and an Order to Change Name.

Step 2 – File Documents

The petitioner must bring a copy of their Petition, coversheet, and filing fee to their local Chancery Court.[1] Individuals who can’t afford the filing fee can request that it be waived by filing a Pauper’s Right to Waiver of Filing Fees.[2] The chancery clerk will file the forms for the petitioner and give a date and time for the petitioner’s hearing. In some cases, a hearing may not be required.

Step 3 – Attend Name Change Hearing (if required)

The petitioner must bring the Order to Change Name to the hearing. The petitioner should be prepared to answer questions about their name change to the judge. If granted, the judge will sign the Order.

Step 4- File Order

The signed Order must be filed with the chancery clerk’s office. Copies of the Order will be used to update the petitioner’s name on their official identification, with government entities, financial institutions, and other vital records.

Marriage and Divorce

Individuals may change their name through marriage by indicating it on their marriage license. The final divorce decree can be used by those who want to restore their former name at the dissolution of their marriage.